发布时间:2018-07-26 08:50 我要投稿
虞城网讯(通讯员 刘起旭)8月7日至10日,全国第四届隶书展作品评审工作在江西省南昌市圆满结束,我县青年书法家余辉创作的书法作品入展本次展览。

据悉,本次展览共收到13825件投稿作品,其中河南省来稿1447件,经过评委会严格评审,共有234位作者入展,河南省入展34件。



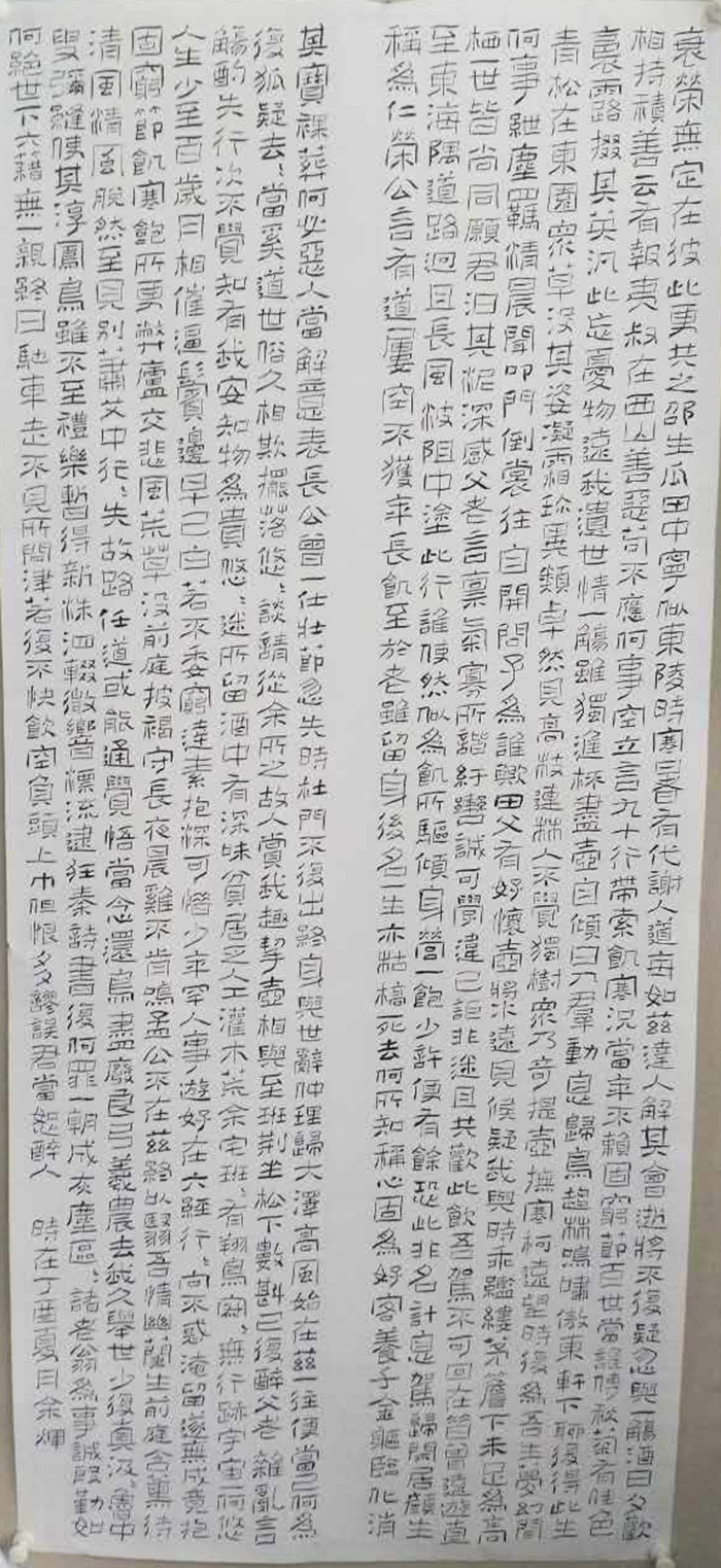
余辉,虞城人,号云堂、月芽河,1979年生,中国艺术研究院中国书法院研究生课程班书法专业毕业。少小喜书,初习魏唐楷书,再临秦汉篆隶、简牍,又追魏晋行草,善隶书,于《石门颂》,《西峡颂》,《三公山》,《好大王》,《大开通》等碑多有临习,尤于《石门颂》用功最勤。习书尊崇传统,寻觅古法,书风空灵疏淡,追求书无意佳乃佳之情趣。其书法作品曾获中国书法家协会第七届临沂书法节优秀奖,多篇书论文章和书法作品被《中国书法》《书法导报》《中国书法院报》等专业报刊刊发。
《我县余辉书法作品入展全国第四届隶书展》由河南新闻网-豫都网提供,转载请注明出处:http://shangqiu.yuduxx.com/yucheng/756632.html,谢谢合作!
豫都网版权与免责声明
1、未经豫都网(以下简称本网)许可,任何人不得非法使用本网自有版权作品。
2、本网转载其他媒体之稿件,以及由用户发表上传的作品,不代表本网赞同其观点和对其真实性负责。
3、如因作品版权和其它问题可联系本网,本网确认后将在24小时内移除相关争议内容。